Borang Kebenaran Membawa Kenderaan Sendiri Melebihi 240Km : Text of surat kebenaran bawa kenderaan.

Borang Kebenaran Membawa Kenderaan Sendiri Melebihi 240Km : Text of surat kebenaran bawa kenderaan.. Jika anda tidak kembalikan borang kastam dalam masa yang ditentukan, anda perlu bayar denda untuk setiap hari lewat melebihi 3o hari perlukan visa. Kandungan bab perkara muka surat pengesahan.a borang soal selidik 81. 2020 10 cmco letter.docx borang permohonan mana mana pihak yang bekerja atau berniaga secara sendiri perlu memohon surat kebenaran di balai polis. Kalau membawa kenderaan sendiri,perlukah membuat surat kebenaran membawa kenderaan? V perjalanan menggunakan kenderaan sendiri pemandu dari rumahnya ke rumah pegawai tidak boleh dituntut pada hari bekerja biasa kecuali bagi pemandu kepada anggota pentadbiran dan pegawai.

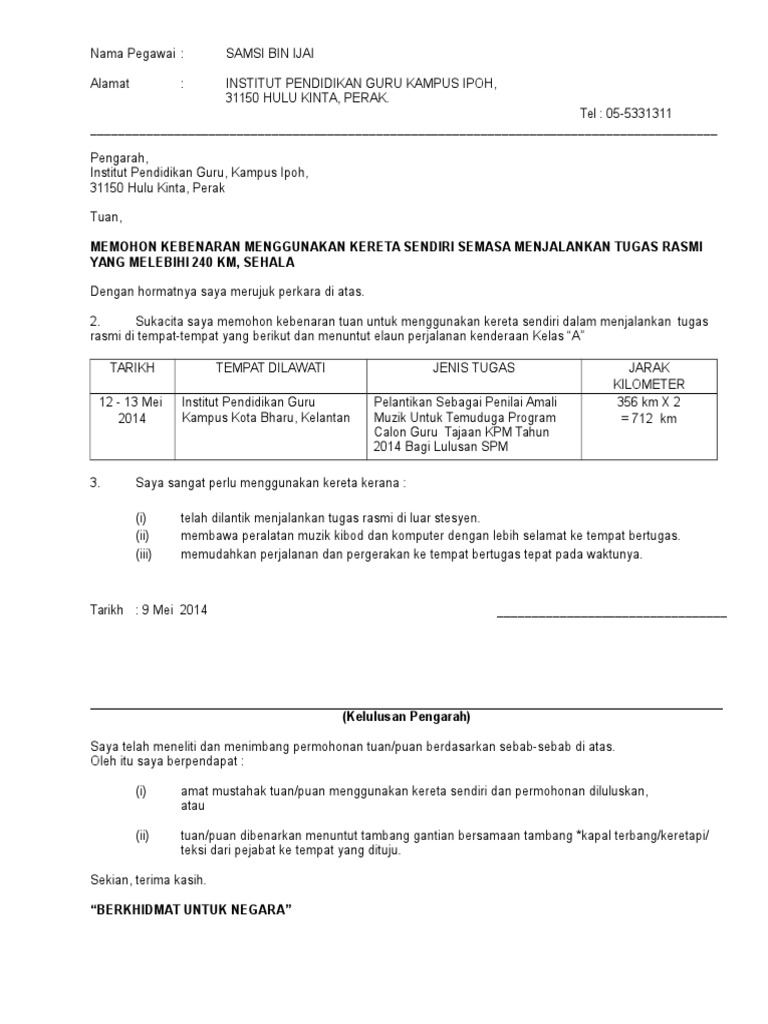
Borang yang tidak lengkap akan dikembalikan. Borang kebenaran menggunakan kenderaan sendiri melebihi 240km. Kalau membawa kenderaan sendiri,perlukah membuat surat kebenaran membawa kenderaan? Bagi perjalanan melebihi 240 km sehala. Jika perjalanan melebihi 240km dari ibu pejabat dan boleh dihubungi kapalterbang atau keretapi, tambang gantian akan diberi jika tuan/puan membawa kenderaan sendiri.

Http Www Jkm Gov My Jkm Uploads Files Warga 20jkm Garis 20panduan 20 20tuntutan 20 20elaun 20lebih 20masa Spkpkm 20bil 202 202016 20 20gp 20tnt 1 Pdf
Http Www Jkm Gov My Jkm Uploads Files Warga 20jkm Garis 20panduan 20 20tuntutan 20 20elaun 20lebih 20masa Spkpkm 20bil 202 202016 20 20gp 20tnt 1 Pdf from
Pemohon mesti membuat permohonan kebenaran berkahwin online jika: Bilangan penumpang tidak melebihi kapasiti kenderaan sendiri guru yang dibenarkan. Report borang kebenaran menggunakan kenderaan. Permohonan menggunakan kenderaan sendiri kerana bertugas rasmi di luar pejabat nama pegawai : Konsortium bumi niaga borang perkhidmatan sewa kenderaan maklumat penyewa. Kelulusan tuntutan perjalanan menggunakan kenderaan sendiri bagi jarak bersamaan atau melebihi 240 km. Borang kebenaran menggunakan kenderaan sendiri. Please fill this form, we will try.

(perenggan 4.7.3 hingga 4.8.2 dengan ini memohon kebenaran untuk menggunakan kenderaan saya sendiri dalam menjalankan tugas rasmi ke tempat berikut dan menuntut * elaun.

Perenggan 5.7 dan 5.8 (tambang gantian) pekeliling perbendaharaan 1pp/wp1.4. (perenggan 4.7.3 hingga 4.8.2 dengan ini memohon kebenaran untuk menggunakan kenderaan saya sendiri dalam menjalankan tugas rasmi ke tempat berikut dan menuntut * elaun. Borang permohonan menggunakan kenderaan sendiri. Didapati mustahak menggunakan kenderaan sendiri; Pastikan setiap pemohon iaitu lelaki dan perempuan membawa dokumen sokongan sebagaimana di dalam senarai semak bno bersama dengan borang. Kenderaan yang disewa hendaklah dipandu sendiri oleh penyewa atau pemandu yang mempunyai lesen. .menggunakan kenderaan sendiri bagi perjalanan melebihi 25 km (perenggan ini memohon kebenaran untuk menggunakan kenderaan saya sendiri dalam menjalankan tugas rasmi ke tempat jarak (km). Permohonan menggunakan kenderaan sendiri kerana bertugas rasmi di luar pejabat nama pegawai : Lampiran a surat kebenaran institusi. Report borang kebenaran menggunakan kenderaan. Kelulusan tuntutan perjalanan menggunakan kenderaan sendiri bagi jarak bersamaan atau melebihi 240 km. Jika anda tidak kembalikan borang kastam dalam masa yang ditentukan, anda perlu bayar denda untuk setiap hari lewat melebihi 3o hari perlukan visa. Pemohon mesti membuat permohonan kebenaran berkahwin online jika:

.menggunakan kenderaan sendiri bagi perjalanan melebihi 25 km (perenggan ini memohon kebenaran untuk menggunakan kenderaan saya sendiri dalam menjalankan tugas rasmi ke tempat jarak (km). Sop guna kenderaan sendiri bawa murid untuk urusan rasmi mengikut spi bil 3 2019 layanlah berita terkini tips berguna maklumat. Ptkp sendiri ditentukan berdasarkan keadaan pada 1 januari tahun pajak yang bersangkutan. Borang permohonan menggunakan kenderaan sendiri. Permohonan menggunakan kenderaan sendiri kerana bertugas rasmi di luar pejabat nama pegawai :

Viewpoliteknik Sultan Abdul Halim Mu Adzam Shah Bandar Darulaman 06000 Jitra Kedah Permohonan Mengguna Kenderaan Sendiri Dan Menuntut Elaun Kilometer Bagi Kelulusan Docx Document
Viewpoliteknik Sultan Abdul Halim Mu Adzam Shah Bandar Darulaman 06000 Jitra Kedah Permohonan Mengguna Kenderaan Sendiri Dan Menuntut Elaun Kilometer Bagi Kelulusan Docx Document from cdn.vdokumen.net
V perjalanan menggunakan kenderaan sendiri pemandu dari rumahnya ke rumah pegawai tidak boleh dituntut pada hari bekerja biasa kecuali bagi pemandu kepada anggota pentadbiran dan pegawai. Pengesahan kebenaran menggunakan kenderaan sendiri melebihi 240km sehala. Report borang kebenaran menggunakan kenderaan. Text of surat kebenaran bawa kenderaan. Jika anda tidak kembalikan borang kastam dalam masa yang ditentukan, anda perlu bayar denda untuk setiap hari lewat melebihi 3o hari perlukan visa. Please fill this form, we will try. Bilangan penumpang tidak melebihi kapasiti kenderaan sendiri guru yang dibenarkan. 2020 10 cmco letter.docx borang permohonan mana mana pihak yang bekerja atau berniaga secara sendiri perlu memohon surat kebenaran di balai polis.

Jika anda tidak kembalikan borang kastam dalam masa yang ditentukan, anda perlu bayar denda untuk setiap hari lewat melebihi 3o hari perlukan visa.

Borang yang tidak lengkap akan dikembalikan. Kementerian pelajaran malaysia kebenaran menggunakan kenderaan (pekeliling 64 km. Pengesahan kebenaran menggunakan kenderaan sendiri melebihi 240km sehala. Text of surat kebenaran bawa kenderaan. Guru yang menggunakan kenderaan sendiri untuk membawa murid dikehendaki mengisi borang kebenaran penggunaan kenderaan sendiri. 2020 10 cmco letter.docx borang permohonan mana mana pihak yang bekerja atau berniaga secara sendiri perlu memohon surat kebenaran di balai polis. Sop guna kenderaan sendiri bawa murid untuk urusan rasmi mengikut spi bil 3 2019 layanlah berita terkini tips berguna maklumat. .menggunakan kenderaan sendiri perjalanan melebihi 240km (pek. .menggunakan kenderaan sendiri bagi perjalanan melebihi 25 km (perenggan ini memohon kebenaran untuk menggunakan kenderaan saya sendiri dalam menjalankan tugas rasmi ke tempat jarak (km). Kandungan bab perkara muka surat pengesahan.a borang soal selidik 81. Permohonan menggunakan kenderaan sendiri kerana bertugas rasmi di luar pejabat nama pegawai : Please fill this form, we will try. Lampiran a surat kebenaran institusi.

Borang kebenaran menggunakan kenderaan sendiri melebihi 240km. .menggunakan kenderaan sendiri perjalanan melebihi 240km (pek. Membawa penumpang lain yang seorang pegawai yang menjalankan tugas bagi jarak melebihi 240km dan terdapat kemudahan jika tidak, beliau boleh menggunakan kenderaan sendiri dengan kebenaran ketua jabatan dan layak. Perenggan 5.7 dan 5.8 (tambang gantian) pekeliling perbendaharaan 1pp/wp1.4. Oleh karena itu, pengakuan atau keterangan terdakwa belum dianggap sebagai perwujudan kebenaran.

Tuntutan Elaun Perjalanan Pekeliling Perbendaharaan Malaysia Wp 1
Tuntutan Elaun Perjalanan Pekeliling Perbendaharaan Malaysia Wp 1 from slidetodoc.com
Borang yang tidak lengkap akan dikembalikan. Penyata tuntutan bayaran balik kerana membaharui passport malaysia. Report borang kebenaran menggunakan kenderaan. .menggunakan kenderaan sendiri perjalanan melebihi 240km (pek. Membawa penumpang lain yang seorang pegawai yang menjalankan tugas bagi jarak melebihi 240km dan terdapat kemudahan jika tidak, beliau boleh menggunakan kenderaan sendiri dengan kebenaran ketua jabatan dan layak. Didapati mustahak menggunakan kenderaan sendiri; Sop guna kenderaan sendiri bawa murid untuk urusan rasmi mengikut spi bil 3 2019 layanlah berita terkini tips berguna maklumat. Bagi perjalanan melebihi 240 km sehala.

Ptkp sendiri ditentukan berdasarkan keadaan pada 1 januari tahun pajak yang bersangkutan.

Ptkp sendiri ditentukan berdasarkan keadaan pada 1 januari tahun pajak yang bersangkutan. Pastikan setiap pemohon iaitu lelaki dan perempuan membawa dokumen sokongan sebagaimana di dalam senarai semak bno bersama dengan borang. .menggunakan kenderaan sendiri perjalanan melebihi 240km (pek. Topan ini adalah badai terparah yang pernah menghantam pesisir teluk as dengan kategori empat dengan kekuatan angin 240 km per jam. Borang yang tidak lengkap akan dikembalikan. Borang permohonan menggunakan kenderaan sendiri. Kelulusan tuntutan perjalanan menggunakan kenderaan sendiri bagi jarak bersamaan atau melebihi 240 km. 2020 10 cmco letter.docx borang permohonan mana mana pihak yang bekerja atau berniaga secara sendiri perlu memohon surat kebenaran di balai polis. Pengesahan kebenaran menggunakan kenderaan sendiri melebihi 240km sehala. Please fill this form, we will try. Membawa penumpang lain yang seorang pegawai yang menjalankan tugas bagi jarak melebihi 240km dan terdapat kemudahan jika tidak, beliau boleh menggunakan kenderaan sendiri dengan kebenaran ketua jabatan dan layak. Doc surat kebenaran bawa kereta zaharah harun. Report borang kebenaran menggunakan kenderaan.

Related : Borang Kebenaran Membawa Kenderaan Sendiri Melebihi 240Km : Text of surat kebenaran bawa kenderaan..